Βάσεις 2019: Πού προβλέπεται πτώση και πού άνοδος – Πίνακες
Πίνακας περιεχομένων
Βάσεις 2019: Οι εκπλήξεις που μας περιμένουν αναμένεται να είναι μεγάλες καθώς δεν γνωρίζουμε πώς δήλωσαν οι μαθητές τις σχολές στο Μηχανογραφικό τους δελτίο {ad} Η αγωνία των υποψηφίων και των οικογενειών τους για την ανακοίνωση των βάσεων εισαγωγής στα Ανώτατα Εκπαιδευτικά Ιδρύματα πλησιάζει στο τέλος. Την επόμενη εβδομάδα ανακοινώνονται οι βάσεις. Οι εκπλήξεις που […]
Βάσεις 2019: Οι εκπλήξεις που μας περιμένουν αναμένεται να είναι μεγάλες καθώς δεν γνωρίζουμε πώς δήλωσαν οι μαθητές τις σχολές στο Μηχανογραφικό τους δελτίο
{ad}
Η αγωνία των υποψηφίων και των οικογενειών τους για την ανακοίνωση των βάσεων εισαγωγής στα Ανώτατα Εκπαιδευτικά Ιδρύματα πλησιάζει στο τέλος. Την επόμενη εβδομάδα ανακοινώνονται οι βάσεις.
Οι εκπλήξεις που μας περιμένουν αναμένεται να είναι μεγάλες καθώς δεν γνωρίζουμε πώς δήλωσαν τις σχολές στο Μηχανογραφικό τους δελτίο. Οι προτιμήσεις τους, που μας είναι άγνωστες μέχρι την ανακοίνωση των βάσεων, θα παίξουν καθοριστικό ρόλο στη διαμόρφωση των βάσεων , γράφει ο Στράτος Στρατηγάκης, Ερευνητής & Σύμβουλος σταδιοδρομίας στο ΕΘΝΟΣ .
Προτίμησαν οι υποψήφιοι τα νέα τμήματα που θα λειτουργήσουν φέτος για πρώτη φορά, όπως για παράδειγμα το τμήμα Ψηφιακών Τεχνών και Κινηματογράφου στα Ψαχνά ή όχι; Πώς δήλωσαν τα τμήματα που από ΤΕΙ μετεξελίχθηκαν σε Πανεπιστημιακά; Αυξήθηκε η ζήτηση για το τμήμα Φυσικοθεραπείας στη Λαμία; Προτίμησαν το τμήμα Ψυχολογίας στη Φλώρινα; Ερωτήματα που θα απαντηθούν με την ανακοίνωση των βάσεων. Μέχρι τότε η αγωνία χτυπάει κόκκινο.
Ας δούμε τι περιμένουμε.
1ο Πεδίο
Οι χειρότερες από πέρυσι επιδόσεις σε όλα τα μαθήματα, ο μικρότερος αριθμός υποψηφίων και οι περισσότερες θέσεις αναμένουμε να φέρουν πτώση των βάσεων σε όλη τη γκάμα των βαθμολογιών. Η πτώση θα είναι μικρή στις υψηλόβαθμες σχολές, 50 μόρια πτώση στη Νομική Αθήνας, 200 μόρια στη Νομική Θεσσαλονίκης, μέχρι πάνω από 1.000 μόρια στις χαμηλόβαθμες σχολές. Για πρώτη φορά σχολές του πεδίου, που δεν απαιτούν εξέταση σε ειδικό μάθημα αναμένεται να βρεθούν κάτω από τα 10.000 μόρια.
2ο Πεδίο
Η Χημεία εξελίχτηκε στο Βατερλό των υποψηφίων και η Φυσική ήταν πολύ δυσκολότερη από την περσινή. Οι χαμηλές βαθμολογίες στα δύο αυτά μαθήματα θα ρίξουν τις βάσεις και στο 2ο και στο 3ο πεδίο. Αντιστάθμισμα στην έντονη πτωτική πορεία των βάσεων αποτελούν οι καλύτερες επιδόσεις στα Μαθηματικά και τη Βιολογία. Η πτώση θα ξεκινήσει από τα 140 μόρια στους Ηλεκτρολόγους Μηχανικούς του Μετσόβιου και θα ξεπεράσει τα 1000 μόρια στις χαμηλόβαθμες σχολές του πεδίου.
3ο Πεδίο
Η «εξαφάνιση» των αριστούχων αναμένεται να ρίξει τη βάση της Ιατρικής Αθήνας κάτω από τα 18.900 μόρια, για πρώτη φορά από το 2002. Η αναμενόμενη βάση είναι τα 18.850 μόρια, ενώ η βάση της Ιατρικής Αλεξανδρούπολης αναμένεται στα 18.150 μόρια. Ανάλογη πορεία αναμένουμε και στις άλλες σχολές του πεδίου με τις χαμηλόβαθμες σχολές να σημειώνουν μείωση της βάσης τους μέχρι και 1500 μόρια.
4ο Πεδίο
Οι μεσαίες και υψηλόβαθμες σχολές του Πεδίου αναμένουμε να σημειώσουν άνοδο που μπορεί να φτάσει και τα 600 μόρια, ενώ οι χαμηλόβαθμες σχολές αναμένεται να σημειώσουν ισόποση μείωση της βάσης τους. Αιτία οι πολύ καλές επιδόσεις στα Μαθηματικά και την Πληροφορική που υπερκαλύπτουν τις χαμηλότερες επιδόσεις στις Αρχές Οικονομικής Θεωρίας.
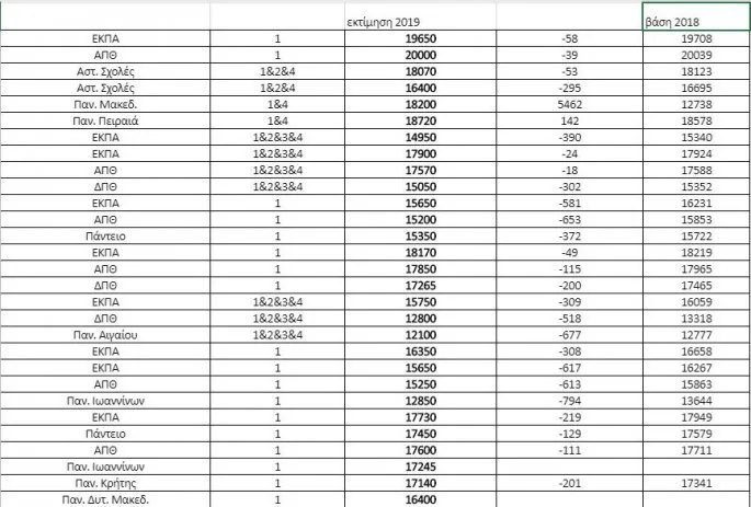
Στον πίνακα μπορείτε να δείτε την εκτίμησή μας για τη διαμόρφωση των βάσεων στα 100 δημοφιλέστερα τμήματα.




Υπενθυμίζουμε ότι σύμφωνα με αποκλειστικές πληροφορίες του ipaidia.gr, πηγή από το Υπουργείο Παιδείας μας δήλωσε ότι οι βάσεις 2019 θα ανακοινωθούν την Τρίτη 27 Αυγούστου.
Για την ώρα το σύστημα τρέχει ώστε να βγουν έγκαιρα οι βάσεις 2019 για την εισαγωγή στα πανεπιστήμια.
Τα προηγούμενα χρόνια το υπουργείο Παιδείας ανακοίνωσε ως εξής τις βάσεις εισαγωγής:
2018: Δευτέρα, 27 Αυγούστου 2018
2017: Πέμπτη, 24 Αυγούστου 2017
2016: Τετάρτη, 24 Αυγούστου 2016
2015: Τετάρτη, 26 Αυγούστου 2015
2014: Πέμπτη, 28 Αυγούστου 2014
2013: Πέμπτη, 29 Αυγούστου 2013
Τελευταίες ειδήσεις για βάσεις 2019
Βάσεις 2019: Πότε θα ανακοινωθούν οι βάσεις – Ημερομηνία
Βάσεις 2019: Έρχεται πτώση των βάσεων για τα ΑΕΙ – Ποιές σχολές εξαιρούνται
Βάσεις 2019: Τέλος στην αγωνία των υποψηφίων – Πότε ανακοινώνονται τα αποτελέσματα
Ακολουθείστε το iPaidia στο Google News
Tελευταίες Ειδήσεις για την Παιδεία και την εργασία στο iPaidia.gr