Βάσεις 2020: Ποιοί παράγοντες θα ορίσουν τις βάσεις
Πίνακας περιεχομένων
Ποιοί παράγοντες φαίνεται πως θα ορίσουν την κίνηση των φετινών βάσεων για τις Πανελλήνιες 2020. Ειδικότερα, τρεις είναι οι παράγοντες που θα κρίνουν τις βάσεις 2020 : αρχικά ο αριθμός των υποψηφίων σε σχέση με τον αριθμό των εισακτέων, δεύτερον ο βαθμός δυσκολίας/ευκολίας των θεμάτων και τρίτον η ζήτηση. {ad} Οι εκτιμήσεις για τις Βάσεις […]
Ποιοί παράγοντες φαίνεται πως θα ορίσουν την κίνηση των φετινών βάσεων για τις Πανελλήνιες 2020. Ειδικότερα, τρεις είναι οι παράγοντες που θα κρίνουν τις βάσεις 2020 : αρχικά ο αριθμός των υποψηφίων σε σχέση με τον αριθμό των εισακτέων, δεύτερον ο βαθμός δυσκολίας/ευκολίας των θεμάτων και τρίτον η ζήτηση.
{ad}
Οι εκτιμήσεις για τις Βάσεις 2020 σύμφωνα με το CNN Greece και τον εκπαιδευτικό αναλυτή Χρήστο Κάτσικα:
Με απαιτητικά θέματα στη Χημεία και αναμενόμενα, με μέτριο βαθμό δυσκολίας, στις Αρχές Οικονομικής Θεωρίας, ολοκληρώθηκαν οι πανελλαδικές για τους υποψηφίους των Γενικών Λυκείων στα μαθήματα Γενικής Παιδείας Προσανατολισμού. Από την Τετάρτη, άρχισαν τα ειδικά μαθήματα, ενώ την Δευτέρα 29 Ιουνίου ξεκίνησε και η προθεσμία υποβολής μηχανογραφικών, η οποία και λήγει στις 17 Ιουλίου.
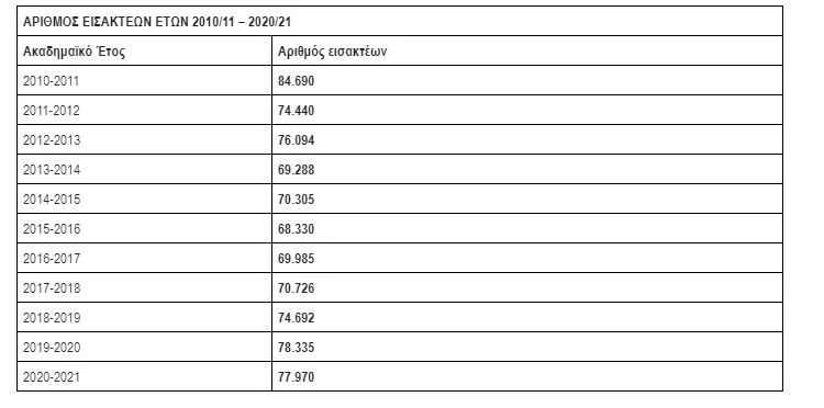
Έτσι, ένα μέρος (το μεγαλύτερο) των περίπου 82.000 υποψηφίων των φετινών Πανελλαδικών 2020 μπορεί να «κάνει δοκιμές» στο μηχανογραφικό του περιμένοντας την ανακοίνωση των βαθμολογιών για να το οριστικοποιήσει, ενώ ένα άλλο μέρος συνεχίζει τη «μάχη» με τα ειδικά μαθήματα που θα κρατήσει για τους τελευταίους μέχρι και 13 Ιουλίου.

Πώς αναμένεται να κινηθούν φέτος οι βάσεις εισαγωγής;
Να διευκρινίσουμε ευθύς εξαρχής τα παρακάτω: δεν έχει νόημα να κοιτάζουν οι υποψήφιοι τις περσινές βάσεις, γιατί πέρα από τη διαφοροποίηση που θα υπάρχει από τις επιδόσεις των υποψηφίων, υπάρχουν φέτος και άλλες κρίσιμες διαφορές σε σχέση με πέρσι που θα επηρεάσουν τις βάσεις εισαγωγής.
Όλα τα στοιχεία δείχνουν ότι η κίνηση των φετινών βάσεων εισαγωγής, η πτώση ή η άνοδός τους θα επηρεαστούν από τρεις «διαταρακτικούς» παράγοντες που είναι οι εξής:
Ο αριθμός των υποψηφίων σε σχέση με τον αριθμό των εισακτέων που κάθε χρόνο παίζει τον ρόλο του «πασπαρτού» για τις βάσεις των τεσσάρων Επιστημονικών Πεδίων.
Φέτος έχουμε ελαφρά μικρότερο αριθμό εισακτέων σε σχέση με πέρσι (-365) ενώ ο αριθμός των υποψηφίων είναι περίπου ο ίδιος με τον περσινό. Αυτό σημαίνει ότι, φέτος, από την άποψη της αναλογίας υποψήφιοι-θέσεις εισακτέων, ελάχιστα επηρεάζονται οι βάσεις εισαγωγής.
Ο δεύτερος «διαταρακτικός» παράγοντας των φετινών πανελλαδικών εξετάσεων είναι ο βαθμός δυσκολίας/ευκολίας των θεμάτων
Προφανώς ο βασικότερος «διαταρακτικός» παράγοντας είναι οι επιδόσεις των υποψηφίων ή, για να το πούμε καλύτερα, ο βαθμός δυσκολίας/ευκολίας των θεμάτων που «κατασκευάζουν» κατά βάση τις επιδόσεις.
Η γενική εκτίμηση είναι ότι ο βαθμός δυσκολίας/ευκολίας των θεμάτων δεν διαφέρει σημαντικά από πέρυσι και αυτό κυρίως διότι τα τελευταία χρόνια, με τα λεγόμενα διαβαθμισμένα θέματα (απλά, εύκολα, δύσκολα, δυσκολότερα), έχει βρεθεί ένας τρόπος βαθμολογικής διασποράς και κατανομής των υποψηφίων, κοντολογίς μια «στρατηγική διαχείρισης» του πληθυσμού των υποψηφίων.
Συγκεκριμένα οι εκτιμήσεις για το βαθμό δυσκολίας των φετινών θεμάτων είναι ότι οι μεγαλύτερες δυσκολίες αναφέρονται στο μάθημα της «Γλώσσας – Λογοτεχνίας» που αφορά όλους τους υποψήφιους καθώς και στα Αρχαία Ελληνικά (Θεωρητική Κατεύθυνση) και στη Χημεία (στη Θετική Κατεύθυνση) σε σχέση πάντα με πέρσι. Επίσης, υπάρχουν εκτιμήσεις για χαμηλότερες επιδόσεις στην Κοινωνιολογία σε σχέση με τις επιδόσεις των περσινών υποψηφίων στα Λατινικά. Οι εκτιμήσεις αυτές φανερώνουν ότι οι τάσεις στην κίνηση των βάσεων εισαγωγής είναι ελαφρά πτωτικές για τις σχολές της Θεωρητικής Κατεύθυνσης, ιδιαίτερα και κυρίως για αυτές που βρίσκονται εκτός Αθήνας – Θεσσαλονίκης και χωρίς αλλαγές στις σχολές που βρίσκονται στα δυο μεγάλα αστικά κέντρα. Αντίθετα, στις σχολές της κατεύθυνσης των θετικών Επιστημών αναμένουμε ελαφρά άνοδο των βάσεων τόσο μεγαλύτερη όσο αυτές αναφέρονται σε Αθήνα και Θεσσαλονίκη.
Στις εκτιμήσεις μας αυτές παίρνουμε υπόψη ότι φέτος τα μαθήματα δεν έχουν συντελεστή βαρύτητας. Μέχρι και την περσινή χρονιά, σε κάθε επιστημονικό πεδίο υπήρχαν δύο μαθήματα κατεύθυνσης αυξημένης βαρύτητας που έδιναν περισσότερα μόρια από τα άλλα. Τα μαθήματα αυτά ήταν τα Αρχαία Ελληνικά και η Ιστορία Κατεύθυνσης για το 1ο Πεδίο, τα Μαθηματικά και η Φυσική για το 2ο Πεδίο, η Βιολογία και η Χημεία για το 3ο και τα Μαθηματικά Κατεύθυνσης και η Οικονομία για το 4ο Επιστημονικό πεδίο.
Συνήθως αυτά τα μαθήματα ήταν βαρόμετρο για την πορεία των βάσεων σε συγκεκριμένα επιστημονικά πεδία. Ωστόσο μετά από αυτή την αλλαγή, φέτος, και τα τέσσερα εξεταζόμενα μαθήματα θα είναι ισοδύναμα (κάθε μάθημα δίνει τώρα 250 μόρια σε αντίθεση με το 2019) και θα έχουν την ίδια ακριβώς βαρύτητα στη διαμόρφωση της συνολικής βαθμολογίας. Πιθανότατα αυτή η αλλαγή να δημιουργήσει μία αυξητική τάση για τα μόρια εισαγωγής που θα συγκεντρώσουν οι υποψήφιοι καθώς στα μαθήματα αυξημένης βαρύτητας, οι υποψήφιοι έγραφαν συνήθως χαμηλότερους βαθμούς, γιατί ήταν δυσκολότερα μαθήματα από τα άλλα, με αποτέλεσμα όταν έχουμε αυξημένη βαρύτητα να οδηγούν τους υποψηφίους στη συγκέντρωση λιγότερων μορίων από όταν δεν έχουμε αυξημένη βαρύτητα. Με λίγα λόγια η αλλαγή αυτή διαμορφώνει όρους ανόδου των βάσεων κυρίως των χαμηλόβαθμων σχολών
Επίσης πρέπει να είναι ξεκάθαρο ότι τα τμήματα που θα συγκεντρώσουν τις περισσότερες πρώτες προτιμήσεις των υποψηφίων δεν θα διαφέρουν ορατά από εκείνα που επέλεξαν οι υποψήφιοι το 2019. Είναι κάτι παραπάνω από σίγουρο ότι και φέτος, όπως και πέρυσι, την κούρσα των υψηλόβαθμων σχολών θα οδηγήσουν τα περιζήτητα και ήδη υψηλόβαθμα Ιατρικά και Πολυτεχνικά Τμήματα, τα οποία θα «στρατολογήσουν», μαζί με τη Νομική Αθήνας, το μεγαλύτερο μέρος της αφρόκρεμας των αριστούχων, αφήνοντας μάλιστα ένα σημαντικό τμήμα τους εκτός.
Ο τρίτος παράγοντας: Η ζήτηση
Ωστόσο και εδώ έχουμε μια διαφοροποίηση. Κρίσιμος θα είναι ο παράγοντας για την επιλογή τμημάτων από τους υποψηφίους, καθώς θεωρείται βέβαιο ότι η χρονική συγκυρία όπου διεξάγονται οι φετινές Πανελλαδικές Εξετάσεις, θα επηρεάσει τον τρόπο με τον οποίο θα συμπληρώσουν το μηχανογραφικό τους οι φετινοί μαθητές της Γ’ λυκείου. Αφενός οι οικονομικές δυσκολίες λόγω κορωνοϊού που αντιμετωπίζουν χιλιάδες ελληνικές οικογένειες, η αβεβαιότητα για τους επόμενους μήνες καθώς και το ενδεχόμενο να υπάρξει ένα δεύτερο κύμα της πανδημίας στη χώρα, αναμένεται να οδηγήσει ακόμη περισσότερους υποψηφίους να βάλουν στην κορυφή του μηχανογραφικού τμήματα τα οποία εδρεύουν κοντά στον τόπο της κατοικίας τους.
Και αυτό, προκειμένου να γλιτώσουν τα έξοδα για τη συντήρηση εντός ακόμη σπιτιού αλλά και να βρίσκονται στην «ασφάλεια» της οικογενειακής τους εστίας σε περίπτωση που η Ελλάδα έρθει αντιμέτωπη με ένα νέο κύμα της πανδημίας. Αυτό σημαίνει ότι θα έχουμε μεγαλύτερη πίεση στις σχολές Αθήνας και Θεσσαλονίκης και αναλογικά μικρότερη στις σχολές μικρότερων πόλεων της χώρας. Προφανώς και αυτό θα διαδραματίσει το δικό του διακριτό ρόλο στη διαμόρφωση των βάσεων εισαγωγής και με δεδομένο ότι οι φετινές μετεγγραφές θα είναι πιο δύσκολες καθώς το υπουργείο έχει ανακοινώσει την προϋπόθεση της «βάσης μετεγγραφής», ενός ακαδημαϊκού «κόφτη» δηλαδή, η οποία ορίζεται στα 2.750 μόρια κάτω από τη βάση εισαγωγής κάθε τμήματος.
Ακολουθείστε το iPaidia στο Google News
Tελευταίες Ειδήσεις για την Παιδεία και την εργασία στο iPaidia.gr