Αυξήσεις σε μισθωτούς και συνταξιούχους φέρνει το 2020
Πίνακας περιεχομένων
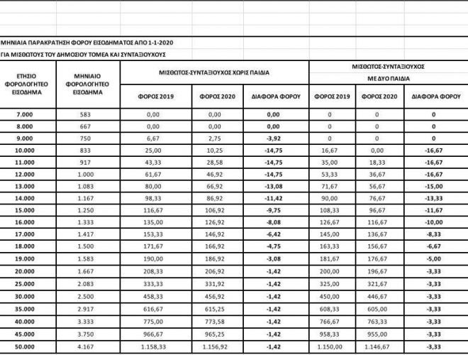
Ποδαρικό με μικρές αυξήσεις στις καθαρές αποδοχές των μισθωτών και συνταξιούχων κάνει το 2020. {ad} Η ενεργοποίηση της νέας κλίμακας και η αλλαγή στην έκπτωση φόρου που οδηγεί σε έμμεσο αφορολόγητο όριο ανάλογα με τον αριθμό των παιδιών το φόρο που παρακρατείται κάθε μήνα στους μισθούς και τις συντάξεις. Εντός του 2020 οι φορολογούμενοι θα […]
Ποδαρικό με μικρές αυξήσεις στις καθαρές αποδοχές των μισθωτών και συνταξιούχων κάνει το 2020.
{ad}
Η ενεργοποίηση της νέας κλίμακας και η αλλαγή στην έκπτωση φόρου που οδηγεί σε έμμεσο αφορολόγητο όριο ανάλογα με τον αριθμό των παιδιών το φόρο που παρακρατείται κάθε μήνα στους μισθούς και τις συντάξεις.
Εντός του 2020 οι φορολογούμενοι θα έχουν ένα ακόμη φορολογικό όφελος με τη μείωση της ειδικής εισφοράς αλληλεγγύης.
Η μείωση της εισφοράς οδηγεί σε αύξηση των καθαρών αποδοχών τους.
Ειδικότερα, με την εφαρμογή της νέας φορολογικής κλίμακας οι μηνιαίες κρατήσεις φόρου εισοδήματος για μισθωτούς και συνταξιούχους θα μειωθούν από την 1η-1-2020:
Έως 14,75 ευρώ για όσους μισθωτούς του δημόσιου τομέα και συνταξιούχους λαμβάνουν πάνω από 617 ευρώ κάθε μήνα και δεν έχουν παιδιά. Οι μισθωτοί του ιδιωτικού τομέα χωρίς παιδιά θα δουν αύξηση στις μηνιαίες αποδοχές τους έως 12,64 ευρώ.
Μέχρι 13,33 ευρώ για όσους μισθωτούς και συνταξιούχους λαμβάνουν πάνω από 633 ευρώ κάθε μήνα και έχουν ένα παιδί. Για τους εργαζόμενους του ιδιωτικού τομέα το μηνιαίο όφελος φθάνει έως τα 11,43 ευρώ.
Έως 16,67 ευρώ για όσους μισθωτούς του δημοσίου τομέα και συνταξιούχους λαμβάνουν πάνω από 650 ευρώ κάθε μήνα και βαρύνονται με 2 τέκνα. Οι μισθωτοί του ιδιωτικού τομέα θα έχουν όφελος μηνιαίο όφελος φθάνει έως τα 14,29 ευρώ.
Μέχρι 26,67 ευρώ για τους δημοσίους υπαλλήλους και συνταξιούχους που λαμβάνουν πάνω από 682 ευρώ κάθε μήνα και βαρύνονται με 3 παιδιά. Όσοι εργάζονται στον ιδιωτικό τομέα θα διαπιστώσουν αύξηση στις μηνιαίες αποδοχές τους έως και 22,86 ευρώ
Οι μειώσεις αυτές θα προκαλέσουν ισόποσες αυξήσεις στα καθαρά ποσά αποδοχών που λαμβάνουν κάθε μήνα οι παραπάνω μισθωτοί και συνταξιούχοι.

Ακολουθείστε το iPaidia στο Google News
Tελευταίες Ειδήσεις για την Παιδεία και την εργασία στο iPaidia.gr