ΑΣΕΠ: Έρχονται 416 μόνιμες προσλήψεις – Δείτε πού
Πίνακας περιεχομένων
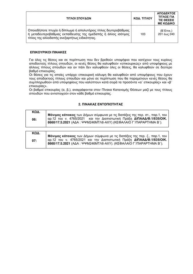
ΑΣΕΠ: Στο Εθνικό Τυπογραφείο για δημοσίευση στο ΦΕΚ απεστάλη η 9K/2021 προκήρυξη του οργανισμού για 416 μόνιμες προσλήψεις. Ποιούς αφορούν οι προσλήψεις Η προκήρυξη αφορά στην πλήρωση με σειρά προτεραιότητας 416 θέσεων μόνιμου προσωπικού Δευτεροβάθμιας Εκπαίδευσης για την στελέχωση των καταστημάτων κράτησης του υπουργείου Προστασίας του Πολίτη. Η ανακοίνωση του ΑΣΕΠ: Γνωστοποιείται ότι απεστάλη στο […]
ΑΣΕΠ: Στο Εθνικό Τυπογραφείο για δημοσίευση στο ΦΕΚ απεστάλη η 9K/2021 προκήρυξη του οργανισμού για 416 μόνιμες προσλήψεις.
Ποιούς αφορούν οι προσλήψεις
Η προκήρυξη αφορά στην πλήρωση με σειρά προτεραιότητας 416 θέσεων μόνιμου προσωπικού Δευτεροβάθμιας Εκπαίδευσης για την στελέχωση των καταστημάτων κράτησης του υπουργείου Προστασίας του Πολίτη.
Η ανακοίνωση του ΑΣΕΠ:
Γνωστοποιείται ότι απεστάλη στο Εθνικό Τυπογραφείο για δημοσίευση η 9K/2021 Προκήρυξη του ΑΣΕΠ, που αφορά στην πλήρωση με σειρά προτεραιότητας τετρακοσίων δεκαέξι (416) θέσεων μόνιμου προσωπικού Δευτεροβάθμιας Εκπαίδευσης για την στελέχωση των Καταστημάτων Κράτησης του Υπουργείου Προστασίας του Πολίτη, σύμφωνα με το άρθρο 28 του ν. 4765/2021.
Νέο Εξοικονομώ: Ποιοί είναι δικαιούχοι του προγράμματος – Αιτήσεις
Αλλαγή ώρας 2021: Πότε πρέπει να γυρίσουμε τα ρολόγια μας μια ώρα πίσω
Φώφη Γεννηματά – Εθνικό πένθος: Σήμερα το ύστατο χαίρε – Αθέατες πτυχές στη μάχη των 14 ημερών
Η νέα προκήρυξη, αφορά την πρόσληψη μονίμων στο Κατάστημα Κράτησης Δράμας με τη «μερίδα του λέοντος» στις θέσεις και στα υπόλοιπα Καταστήματα Κράτησης της χώρας.










Ακολουθείστε το iPaidia στο Google News
Tελευταίες Ειδήσεις για την Παιδεία και την εργασία στο iPaidia.gr