Σχολεία: Σοβαρές ελλείψεις προσωπικού ακόμη και στα τέλη Μαρτίου στη Δευτεροβάθμια
Πίνακας περιεχομένων
Σοβαρές ελλείψεις προσωπικού καταγράφονται ακόμη και στα τέλη Μαρτίου στη Δευτεροβάθμια Εκπαίδευση Ζακύνθου, όπως αποκαλύπτει σε ανακοίνωσή της η ΕΛΜΕΖ.
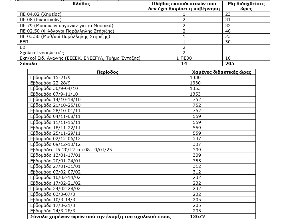
Σοβαρές ελλείψεις προσωπικού καταγράφονται ακόμη και στα τέλη Μαρτίου στα σχολεία και στη Δευτεροβάθμια Εκπαίδευση Ζακύνθου, όπως αποκαλύπτει σε ανακοίνωσή της η ΕΛΜΕΖ. Σύμφωνα με τα στοιχεία που συνέλεξε η Ένωση, μέχρι και τις 28 Μαρτίου 2025, το σύνολο των χαμένων διδακτικών ωρών έχει φτάσει τις 13.672, γεγονός που αποτυπώνει τη συνεχιζόμενη αδυναμία κάλυψης βασικών αναγκών στα σχολεία του νησιού.
Πλήθος κενών σε εκπαιδευτικούς και ειδικό προσωπικό
Η ανακοίνωση παραθέτει αναλυτικά στοιχεία για τους κλάδους στους οποίους καταγράφονται ελλείψεις, καθώς και τις ώρες που δεν έχουν διδαχθεί. Συγκεκριμένα, το Υπουργείο Παιδείας δεν έχει τοποθετήσει 14 συνολικά εργαζόμενους, εκ των οποίων περιλαμβάνονται φιλόλογοι και μαθηματικοί παράλληλης στήριξης, χημικός, εικαστικοί, μουσικοί, προσωπικό ΕΕΠ-ΕΒΠ, σχολικοί νοσηλευτές και εκπαιδευτικός ειδικής αγωγής.
Ο συνολικός αριθμός των μη διδαχθεισών ωρών ανέρχεται στις 205 για την περίοδο αναφοράς, με τις μεγαλύτερες ελλείψεις να καταγράφονται σε παράλληλη στήριξη και ειδικότητες καλλιτεχνικών μαθημάτων.
Διαρκής απώλεια ωρών από Σεπτέμβριο έως Μάρτιο
Η καταγραφή των εβδομαδιαίων απωλειών σε διδακτικές ώρες δείχνει με σαφήνεια τη διαχρονικότητα του προβλήματος. Από τις 15 Σεπτεμβρίου 2024 έως τις 28 Μαρτίου 2025, δεν έχουν πραγματοποιηθεί 13.672 ώρες διδασκαλίας. Οι εβδομαδιαίες απώλειες ήταν ιδιαίτερα αυξημένες τους πρώτους μήνες (π.χ. 1.330 ώρες για τις εβδομάδες 15-21/9 και 22-28/9), ενώ σταδιακά μειώθηκαν, χωρίς όμως ποτέ να μηδενιστούν, παρά την εξέλιξη της σχολικής χρονιάς.
Η ΕΛΜΕ Ζακύνθου καταγγέλλει το ΥΠΑΙΘΑ για αδιαφορία
Η Ένωση επισημαίνει πως το πρόβλημα όχι μόνο δεν έχει αντιμετωπιστεί, αλλά συνεχίζεται ακόμη και λίγες ημέρες πριν από τις διακοπές του Πάσχα. Παρά τις συνεχείς διαμαρτυρίες και τις σχετικές ερωτήσεις στη Βουλή για τα κενά στην περιοχή, η απάντηση του ΥΠΑΙΘΑ περιορίστηκε πρόσφατα σε έκδοση ειδικών προσκλήσεων για κάλυψη θέσεων – γεγονός που, σύμφωνα με την ΕΛΜΕ, αποτελεί έμμεση παραδοχή της αποτυχίας του σχεδιασμού.

Η ΕΛΜΕ Ζακύνθου καταγγέλλει ότι η κυβερνητική πολιτική στην εκπαίδευση χαρακτηρίζεται από τριπλό πλήγμα: υποβάθμιση συνθηκών και υποδομών, καταστολή και συστηματική συγκάλυψη των προβλημάτων. Παράλληλα, υπενθυμίζει τις δηλώσεις του πρώην Υπουργού Παιδείας και νυν Υπουργού Οικονομικών Κυριάκου Πιερρακάκη περί μη χορήγησης 13ου και 14ου μισθού, καθώς και την άρνηση του πρωθυπουργού να συναντηθεί με εκπαιδευτικές Ομοσπονδίες στο πρόσφατο πανελλαδικό συλλαλητήριο.
Το ΔΣ της ΕΛΜΕ Ζακύνθου δεσμεύεται να συνεχίσει την αποκάλυψη, όπως σημειώνει, των «συνειδητών ψευδών» του Υπουργείου και να αναδεικνύει την πραγματικότητα που βιώνουν τα σχολεία της περιοχής: πολιτική αδιοριστίας, υποχρηματοδότησης και επιβολής αξιολόγησης, χωρίς να λαμβάνονται υπόψη οι πραγματικές ανάγκες της εκπαιδευτικής κοινότητας.
Ακολουθείστε το iPaidia στο Google News
Tελευταίες Ειδήσεις για την Παιδεία και την εργασία στο iPaidia.gr