Πόσο αυξάνονται μισθοί και συντάξεις με το νέο φορολογικό
Πίνακας περιεχομένων
Eκατομμύρια φορολογούμενοι θα δουν από μικρές έως μεγαλύτερες αυξήσεις σε μισθούς και συντάξεις από το νέο έτος . Αυτή η θετική εξέλιξη θα είναι αποτέλεσμα της νέας φορολογικής κλίμακας που θεσπίζεται με το φορολογικό νομοσχέδιο το οποίο κατατέθηκε αργά χθες το βράδυ στη Βουλή. {ad} Η νέα φορολογική κλίμακα συνοδεύεται από αλλαγές και στην έκπτωση […]
Eκατομμύρια φορολογούμενοι θα δουν από μικρές έως μεγαλύτερες αυξήσεις σε μισθούς και συντάξεις από το νέο έτος . Αυτή η θετική εξέλιξη θα είναι αποτέλεσμα της νέας φορολογικής κλίμακας που θεσπίζεται με το φορολογικό νομοσχέδιο το οποίο κατατέθηκε αργά χθες το βράδυ στη Βουλή.
{ad}
Η νέα φορολογική κλίμακα συνοδεύεται από αλλαγές και στην έκπτωση φόρου που οδηγεί στο αφορολόγητο όριο. Η νέα φορολογικό κλίμακα έχει την εξής μορφή:
| Εισόδημα | Συντελεστής |
| Έως 10.000 | 9% (από 22% που ισχύει σήμερα) |
| 10.001-20.000 | 22% |
| 20.001-30.000 | 28% (από 29% |
| 30.001-40.000 | 36% (από 37%) |
| 40.001+ | 44% (από 45%) |
Η έκπτωση φόρου για μισθωτούς-συνταξιούχους που οδηγεί σε αφορολόγητο όριο διαμορφώνεται ως εξής:
– Άγαμος: 777 ευρώ που συνεπάγεται αφορολόγητο όριο 8.636 ευρώ.
– Έγγαμος με 1 παιδί: 810 ευρώ για να προκύπτει αφορολόγητο 9.000 ευρώ.
– Έγγαμος με 2 παιδιά: 900 ευρώ για να προκύψει αφορολόγητο όριο 10.000 ευρώ.
– Έγγαμος με 3 παιδιά: 1.120 ευρώ που οδηγεί σε αφορολόγητο 11.000 ευρώ.
– Έγγαμος με 4 παιδιά: 1.340 ευρώ που οδηγεί σε αφορολόγητο όριο 12.000 ευρώ.
– Για κάθε επιπλέον τέκνο η έκπτωση φόρου προσαυξάνεται κατά 220 ευρώ
Τα ποσά της έκπτωσης φόρου θα δίνονται στο σύνολό τους για εισόδημα από μισθούς ή συντάξεις έως 12.000 ευρώ. Για εισοδήματα άνω των 12.000 ευρώ οι εκπτώσεις φόρου θα περιορίζονται κατά 20 ευρώ ανά 1.000 ευρώ επιπλέον εισοδήματος.
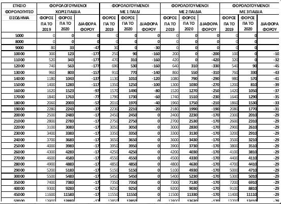
Φορολογικό βάρος
Οι αλλαγές στο φορολογικό βάρος μισθωτών, συνταξιούχων και ελευθέρων επαγγελματιών στους πίνακες που ακολουθούν:
Μισθωτοί – Συνταξιούχοι

Ελεύθεροι επαγγελματίες

Ακολουθείστε το iPaidia στο Google News
Tελευταίες Ειδήσεις για την Παιδεία και την εργασία στο iPaidia.gr