Εξελίξεις στην υπόθεση θανάτου καθηγήτριας: Είχε καταγγείλει η ίδια εκφοβισμό στο υπουργείο – Έφτασε στη Βουλή η υπόθεση
Πίνακας περιεχομένων
Η υπόθεση της καθηγήτριας Σοφίας Χρηστίδου, που πέθανε από εγκεφαλικό, προκαλεί αντιδράσεις και κοινοβουλευτικό ενδιαφέρον, καθώς συγγενείς καταγγέλλουν περιστατικά εκφοβισμού και αμφισβητούν τις συνθήκες παραπομπής της σε υγειονομική επιτροπή.
Η υπόθεση της καθηγήτριας Σοφίας Χρηστίδου, η οποία πέθανε από εγκεφαλικό, βρίσκεται στο επίκεντρο έντονων αντιδράσεων, καθώς πληθαίνουν οι καταγγελίες για τις συνθήκες που αντιμετώπιζε στο σχολικό περιβάλλον. Συγγενείς της υποστηρίζουν ότι η εκπαιδευτικός υπήρξε στόχος εκφοβισμού μέσα στο 3ο ΓΕΛ Θεσσαλονίκης.
Την ίδια στιγμή, η υπόθεση έχει πάρει και πολιτικές διαστάσεις, καθώς κατατέθηκε ερώτηση στη Βουλή προς το υπουργείο Παιδείας σχετικά με τις συνθήκες εργασίας της εκπαιδευτικού και τα περιστατικά βίας που ενδέχεται να αντιμετώπιζε στο σχολείο.
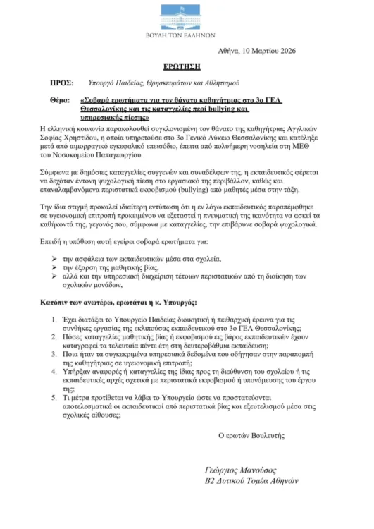
Κοινοβουλευτική ερώτηση για τις συνθήκες της υπόθεσης
Το ζήτημα έφτασε στη Βουλή μετά από κοινοβουλευτική παρέμβαση του βουλευτή Β2 Δυτικού Τομέα Αθηνών Γεώργιου Μανούσου, ο οποίος κατέθεσε ερώτηση προς το υπουργείο Παιδείας για την υπόθεση της Σοφίας Χρηστίδου στο 3ο ΓΕΛ Θεσσαλονίκης.
ΔΕΙΤΕ Νέες καταγγελίες για bullying στην άτυχη Σοφία Χρηστίδου από συναδέλφους της
Με την ερώτησή του ζητά να διευκρινιστεί αν έχει διαταχθεί διοικητική ή πειθαρχική έρευνα για τις συνθήκες εργασίας της εκπαιδευτικού, καθώς και ποιοι λόγοι οδήγησαν στην παραπομπή της σε υγειονομική επιτροπή. Παράλληλα, ζητά στοιχεία για τα περιστατικά βίας και εκφοβισμού κατά εκπαιδευτικών που έχουν καταγραφεί τα τελευταία χρόνια στη δευτεροβάθμια εκπαίδευση.
Επιπλέον, ζητείται να διευκρινιστεί αν είχαν προηγηθεί αναφορές ή καταγγελίες προς τη διεύθυνση του σχολείου για περιστατικά εκφοβισμού και ποια μέτρα σκοπεύει να λάβει το υπουργείο Παιδείας ώστε να προστατεύονται οι εκπαιδευτικοί από περιστατικά βίας και εξευτελισμού μέσα στις σχολικές αίθουσες.
Το υπόμνημα της εκπαιδευτικού στο υπουργείο Παιδείας
Σύμφωνα με όσα έγιναν γνωστά από τον θείο της καθηγήτριας, Δημήτρη Κωστόπουλο, η ίδια είχε ήδη καταγγείλει ότι δεχόταν εκφοβισμό. Όπως αναφέρει, πριν από την παραπομπή της σε επιτροπή της Δευτεροβάθμιας Υγειονομικής Επιτροπής είχε αποστείλει γραπτό και υπογεγραμμένο υπόμνημα στο υπουργείο Παιδείας.
Το υπόμνημα κατατέθηκε στις 9 Φεβρουαρίου 2026 στο υπουργείο Παιδείας και την ίδια ημέρα και στη Διεύθυνση Δευτεροβάθμιας Εκπαίδευσης Ανατολικής Θεσσαλονίκης. Σε αυτό η εκπαιδευτικός διέψευδε ισχυρισμούς που είχαν καταγραφεί σε αναφορές συμβάντων της διευθύντριας του σχολείου.
Όπως σημειώνει ο Δημήτρης Κωστόπουλος, οι αναφορές για τις συνθήκες παραπομπής της καθηγήτριας στη Δευτεροβάθμια Υγειονομική Επιτροπή βασίζονται στο συγκεκριμένο υπόμνημα που υπέβαλε η ίδια στο πλαίσιο εφαρμογής των διατάξεων του νόμου 5029/2023 «Ζούμε Αρμονικά Μαζί – Σπάμε τη Σιωπή», ο οποίος αφορά την πρόληψη και αντιμετώπιση της βίας και του εκφοβισμού στα σχολεία.
Οι καταγγελίες για περιστατικά εκφοβισμού μέσα στην τάξη
Σε δημόσιες τοποθετήσεις του, ο Δημήτρης Κωστόπουλος περιγράφει περιστατικά που, σύμφωνα με όσα υποστηρίζει, αντιμετώπιζε η καθηγήτρια κατά τη διάρκεια των μαθημάτων της. Όπως αναφέρει, ομάδα μαθητών με κοινωνικά και μαθησιακά προβλήματα φέρεται να προχωρούσε σε συμπεριφορές εκφοβισμού απέναντί της.
Μεταξύ άλλων, γίνεται λόγος για περιστατικά κατά τα οποία πετούσαν εναντίον της βιβλία, μπουκάλια νερού και συσκευασίες γάλακτος με κακάο, ενώ χτυπούσαν τα θρανία δημιουργώντας δυνατούς θορύβους και μιμούνταν κραυγές ζώων μέσα στην αίθουσα διδασκαλίας.

Σύμφωνα με τις ίδιες αναφορές, υπήρξαν ακόμη και περιστατικά κατά τα οποία μαθητές τοποθετούσαν θρανία μπροστά στην πόρτα της αίθουσας, εμποδίζοντας την έξοδο της καθηγήτριας, ενώ τα επεισόδια αυτά συνδέονταν με διαφωνίες σχετικά με το πρόγραμμα διδασκαλίας του υπουργείου και τη βαθμολογία.
Η παραπομπή σε υγειονομική επιτροπή
Ο Δημήτρης Κωστόπουλος υποστηρίζει ότι η εκπαιδευτικός παραπέμφθηκε σε υγειονομική επιτροπή με την αιτιολογία ότι δεν μπορούσε να ανταποκριθεί στα εκπαιδευτικά της καθήκοντα. Όπως αναφέρει, η παραπομπή έγινε από τη Διευθύντρια Δευτεροβάθμιας Εκπαίδευσης Ανατολικής Θεσσαλονίκης Ζωή Βαζούρα.
Κατά την ίδια τοποθέτηση, η παραπομπή συνδέεται με αναφορές της διευθύντριας του 3ου ΓΕΛ Θεσσαλονίκης, Μαρίας-Αγγελικής Μάργκα, οι οποίες παρουσίαζαν την κατάσταση ως προβληματική διδασκαλία.
Ο ίδιος υποστηρίζει ότι με αυτόν τον τρόπο η καθηγήτρια εμφανίστηκε ως υπαίτια για τα περιστατικά, ενώ σύμφωνα με όσα αναφέρει η ίδια είχε υπάρξει θύμα εκφοβισμού.
Η δικαστική διερεύνηση των συνθηκών
Ο Δημήτρης Κωστόπουλος επισημαίνει ότι τα ζητήματα που αφορούν τις συνθήκες παραπομπής της καθηγήτριας στη Δευτεροβάθμια Υγειονομική Επιτροπή θα εξεταστούν από το αρμόδιο δικαστήριο.
Όπως αναφέρει, η αλήθεια για την υπόθεση θα προκύψει μέσα από τη δικαστική διαδικασία και όχι από δημόσιες ανακοινώσεις των εμπλεκομένων πλευρών.
Παράλληλα υπογραμμίζει ότι οι δημόσιες τοποθετήσεις για το θέμα δεν θα πρέπει να εκλαμβάνονται ως απειλή ούτε να αγγίζουν τα όρια της προσβολής της μνήμης ενός νεκρού προσώπου.
Ακολουθείστε το iPaidia στο Google News
Tελευταίες Ειδήσεις για την Παιδεία και την εργασία στο iPaidia.gr