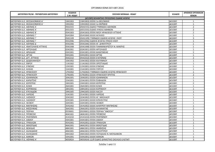
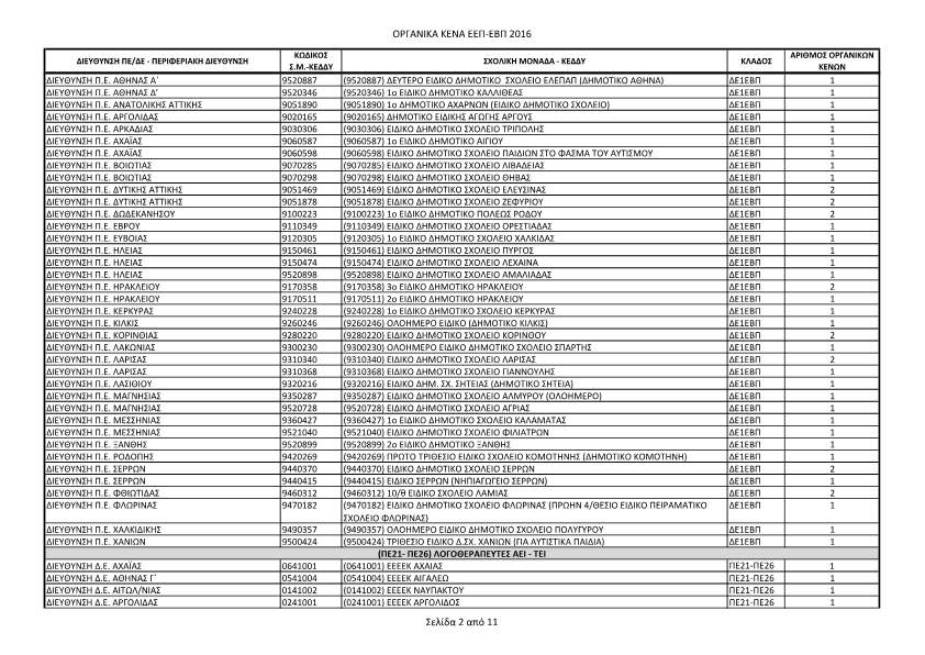
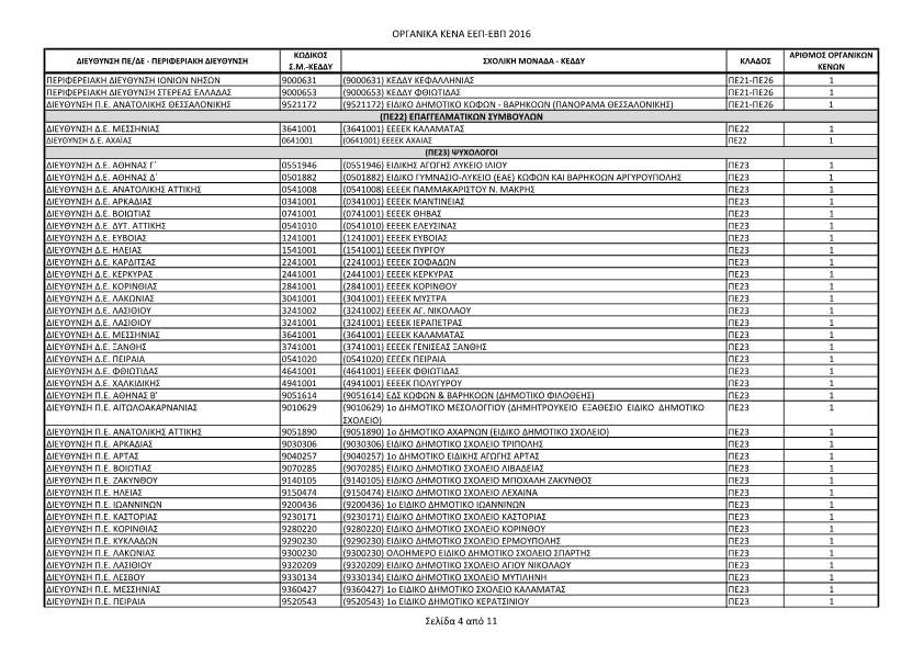
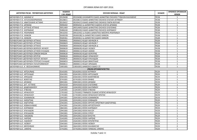
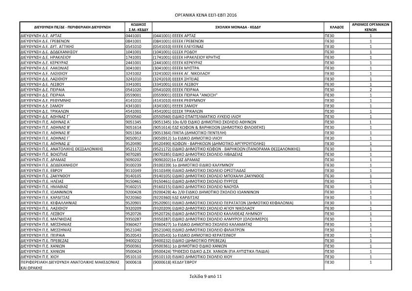
ΤΑ ΟΡΓΑΝΙΚΑ ΚΕΝΑ ΤΟΥ Ε.Ε.Π. ΚΑΙ Ε.Β.Π. ΓΙΑ ΤΙΣ ΜΕΤΑΘΕΣΕΙΣ ΣΕ ΚΕ.Δ.Δ.Υ. ΚΑΙ Σ.Μ.Ε.Α.Ε. ΓΙΑ ΤΟ 2016-17
Πίνακας περιεχομένων
ΔΕΙΤΕ ΤΗΝ ΕΓΚΥΚΛΙΟ ΜΕΤΑΘΕΣΕΣΩΝ Ε.Ε.Π./Ε.Β.Π. ΑΠΟ ΕΔΩ: http://seepea-stella.blogspot.gr/2017/03/2017-18-243-642017.html
ΤΑ ΟΡΓΑΝΙΚΑ ΚΕΝΑ ΤΟΥ Ε.Ε.Π. ΚΑΙ Ε.Β.Π. ΓΙΑ ΤΙΣ ΜΕΤΑΘΕΣΕΙΣ ΣΕ ΚΕ.Δ.Δ.Υ. ΚΑΙ Σ.Μ.Ε.Α.Ε. ΓΙΑ ΤΟ 2016-17 ΟΠΩΣ ΤΑ ΕΔΩΣΕ ΤΟ ΥΠΟΥΡΓΕΙΟ ΠΑΙΔΕΙΑΣ
{ad}
Ακολουθείστε το iPaidia στο Google News
Tελευταίες Ειδήσεις για την Παιδεία και την εργασία στο iPaidia.gr
Στην Κατηγορία:
ΠΑΙΔΕΙΑ










